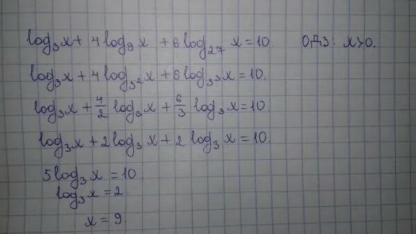
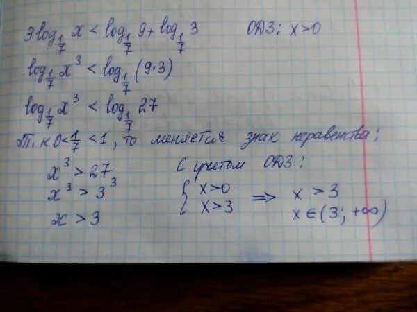
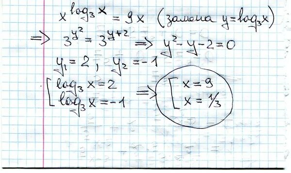
Log3 x 9 3