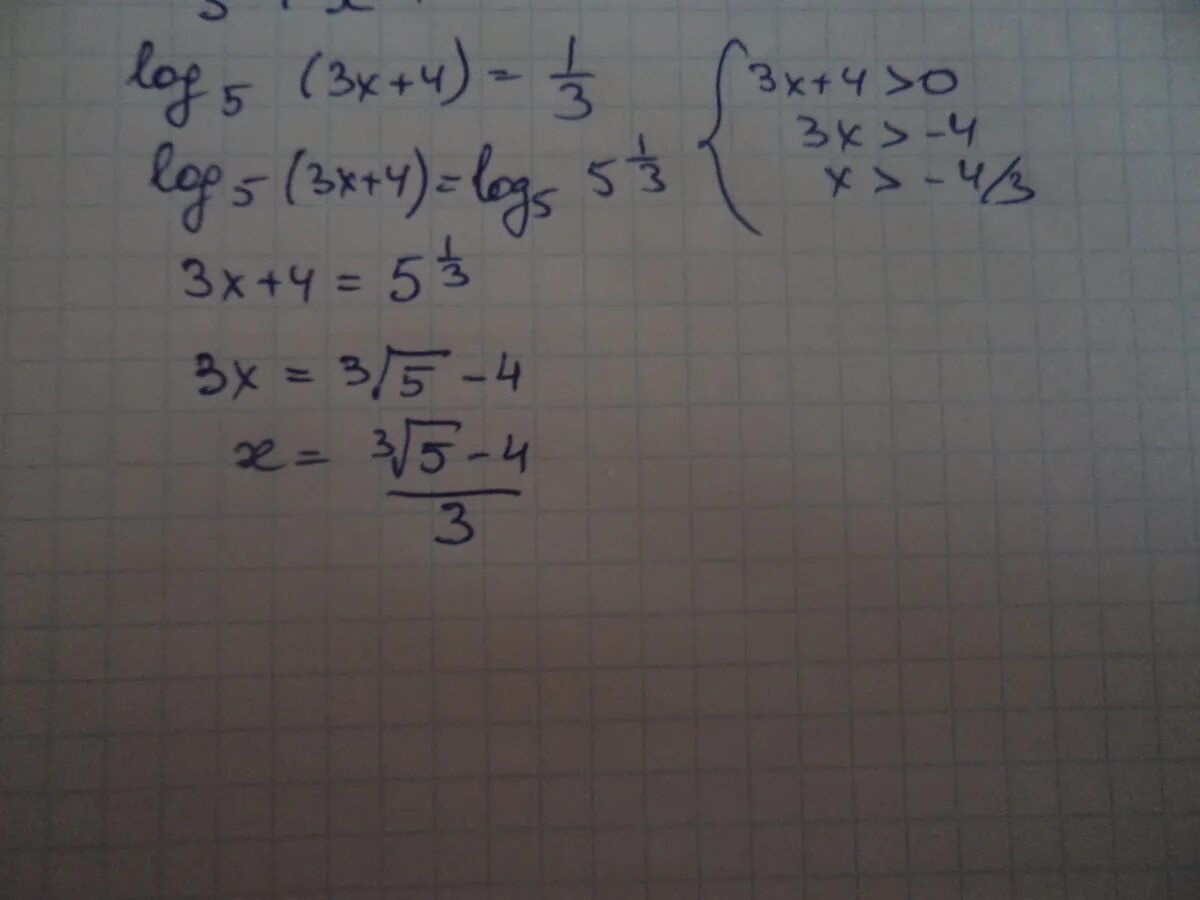
Log3x log3 x 1 1