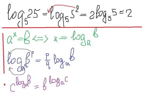
Логарифм корень 5 по основанию 5