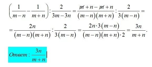
M 1 3 2n 1 2