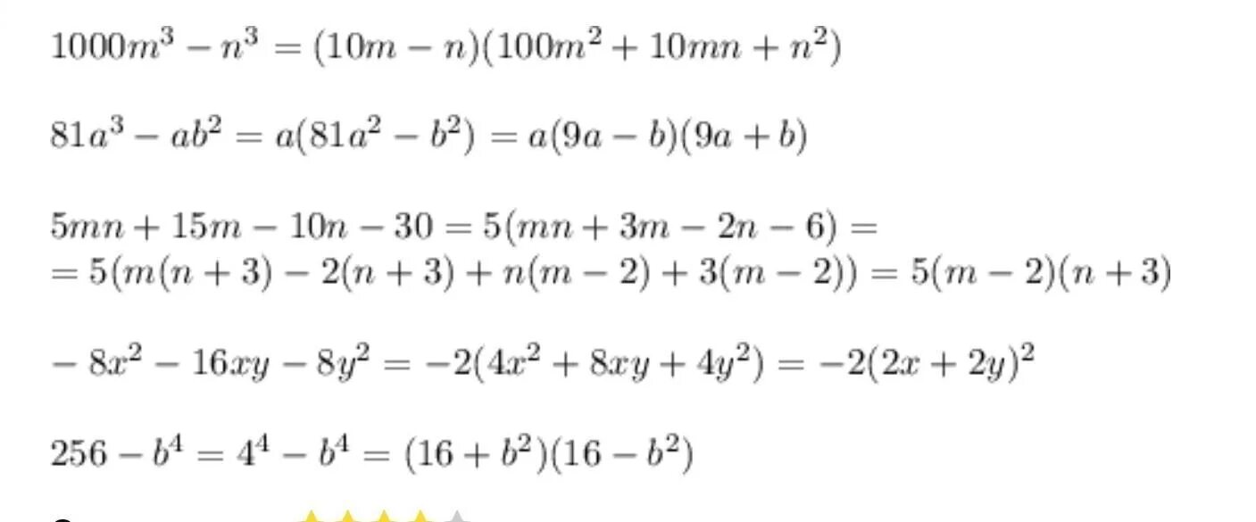
M 6 1 2m 3