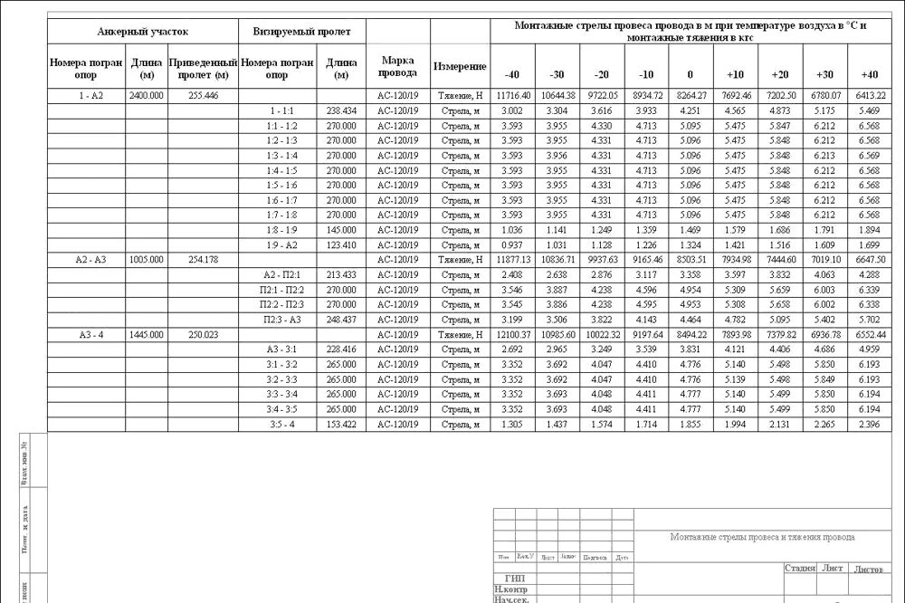
Максимальная стрела провеса воздушных линий