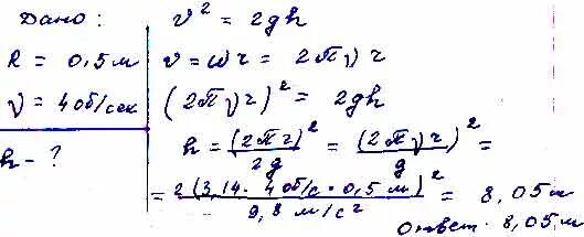
Мальчик вращает в вертикальной плоскости камень