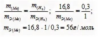
Масса эквивалентов меди