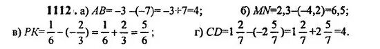
Математика 6 класс упр 1.16