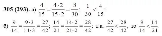
Математика 6 класс жохов 2025