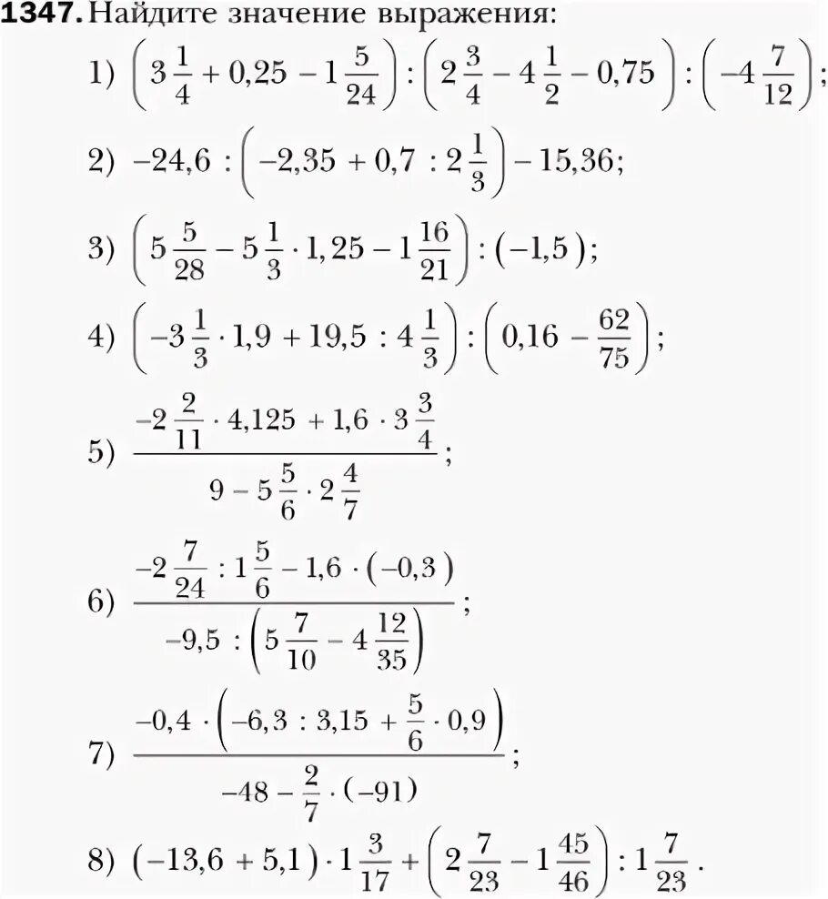
Математика мерзляк 892