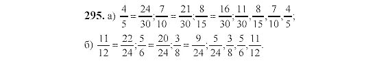
Математика шестой класс номер 2.247