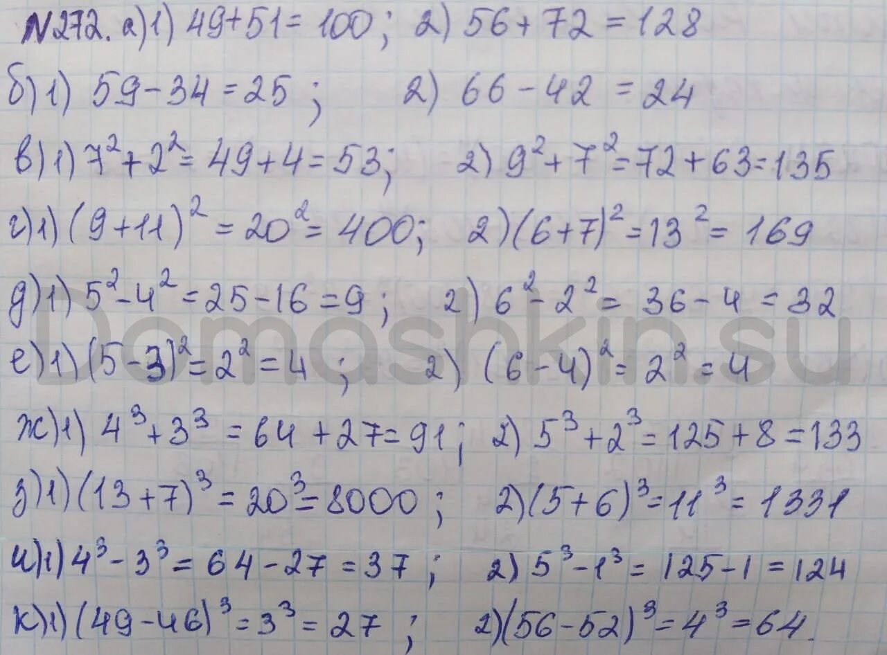
Математика стр 72 5