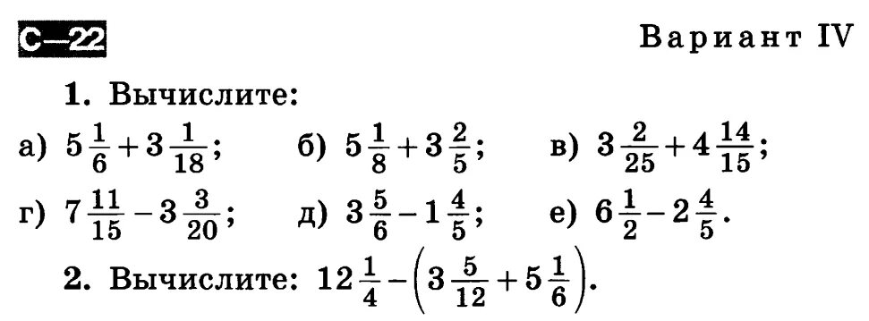
Материал по дробям 5 класс