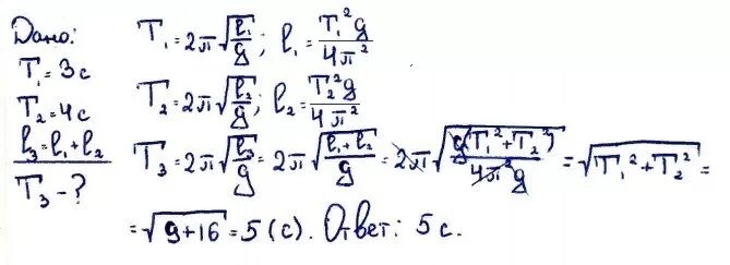
Маятник имеет длину