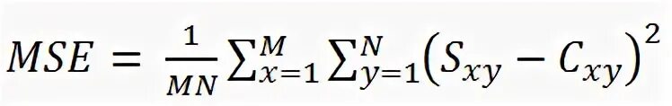
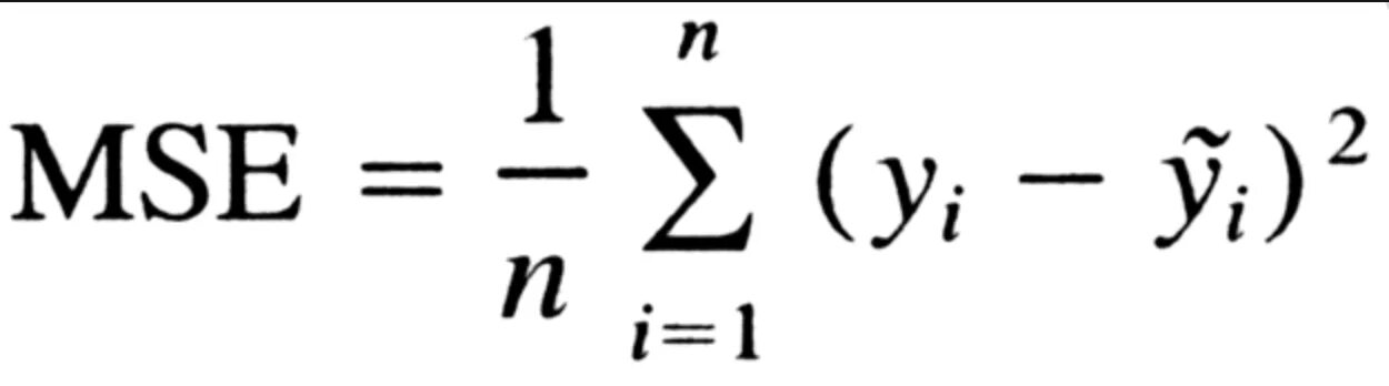
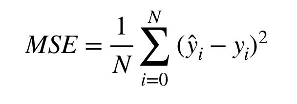
Mean squared error