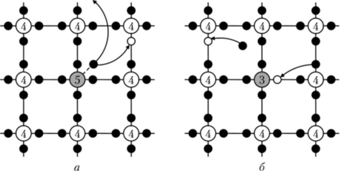
Металл n типа