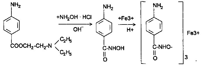
Метод количественного определения прокаина