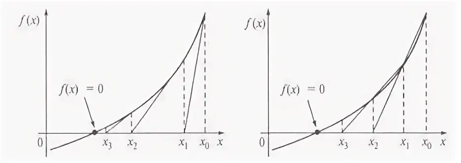
Метод ньютона является методом