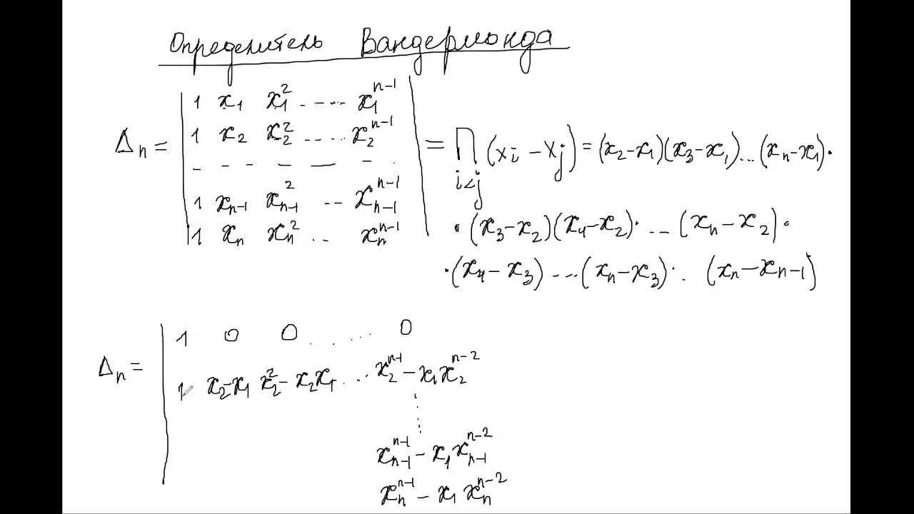
Метод рекуррентных соотношений определитель