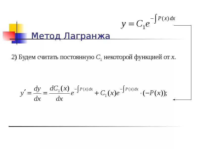
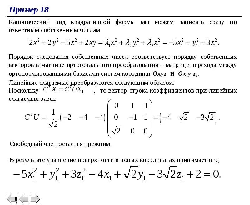
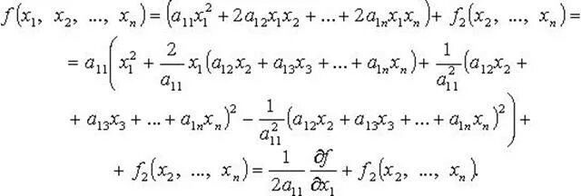
Методом лагранжа привести квадратичную форму