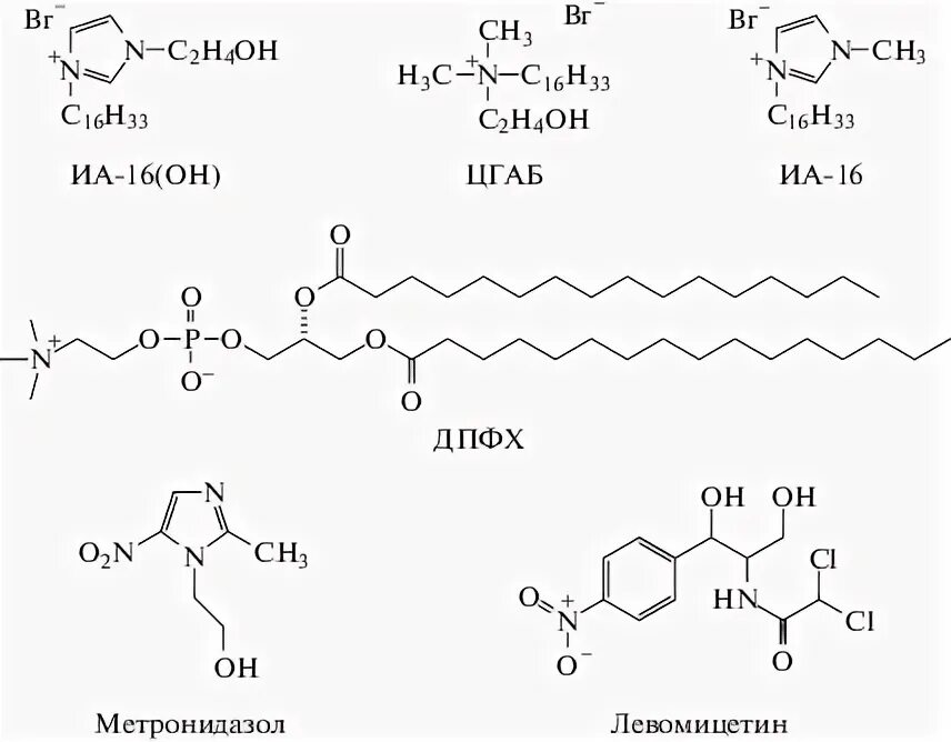
Метронидазол левомицетин