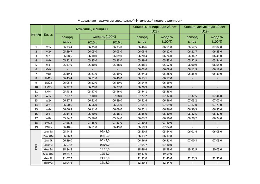
Модельные параметры