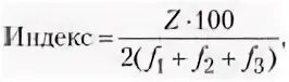
Модифицированный индекс