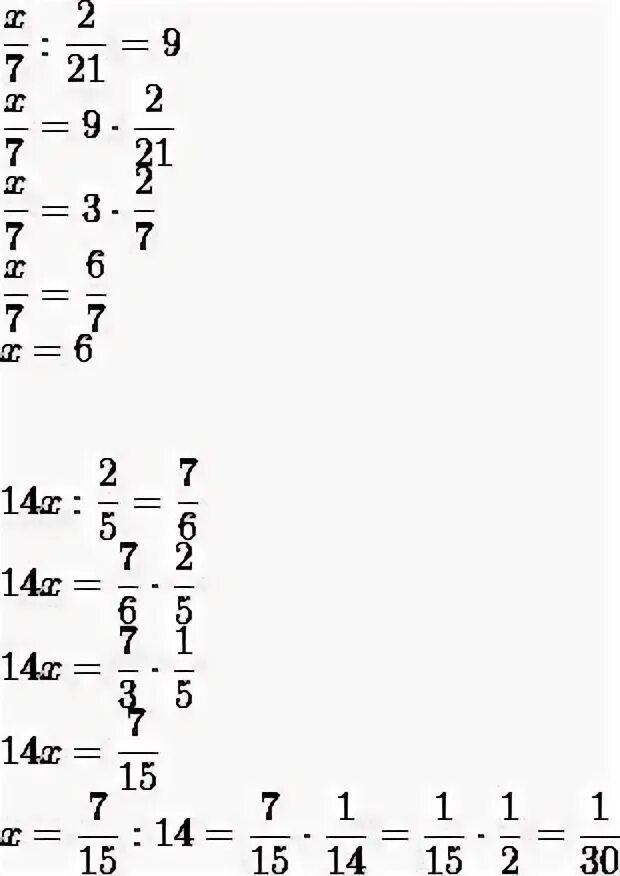
Модуль 7 9 равен