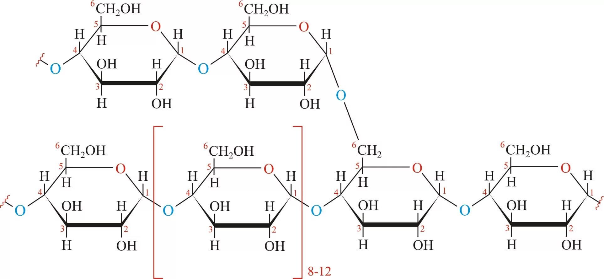
Молекула гликогена состоит из остатков