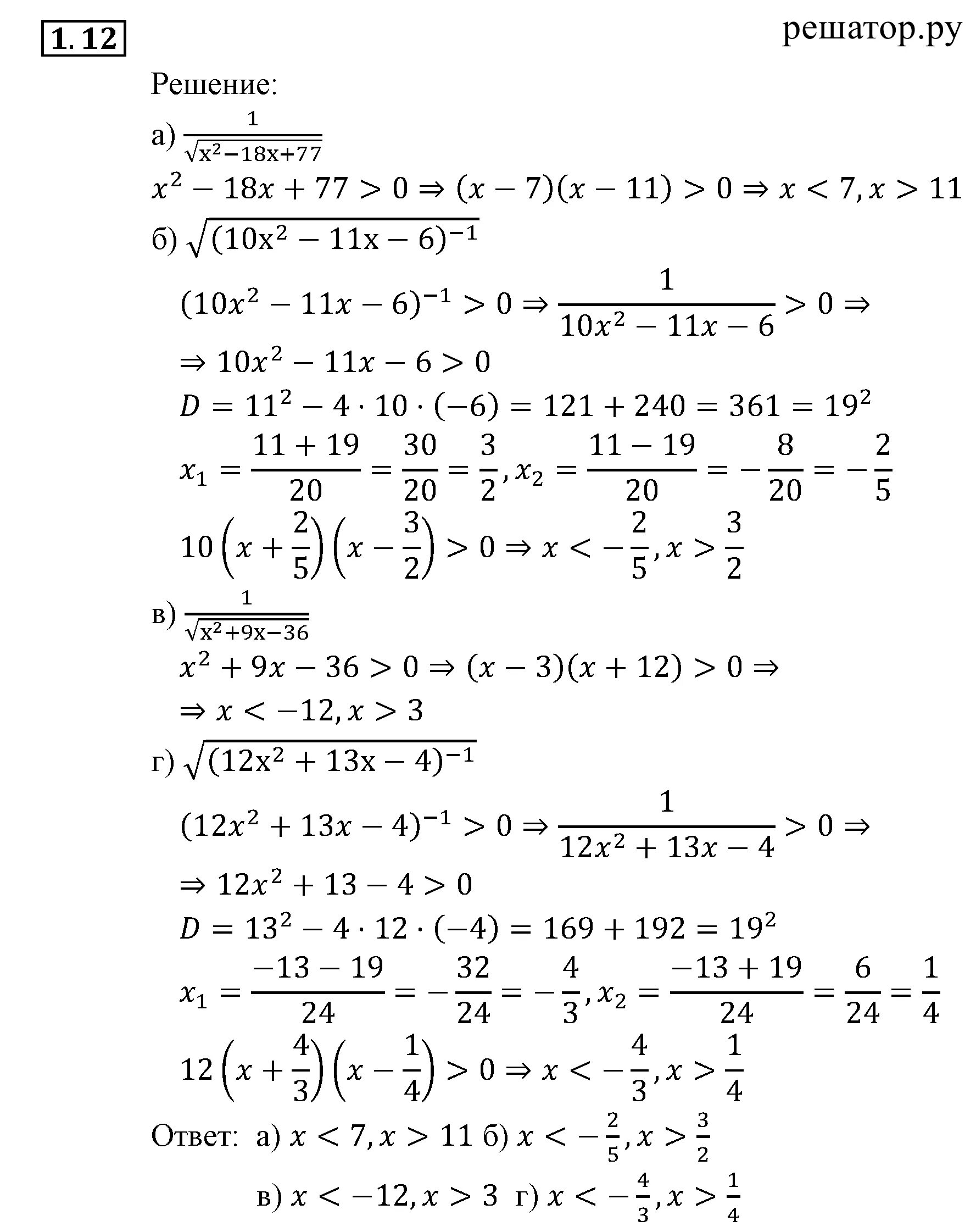
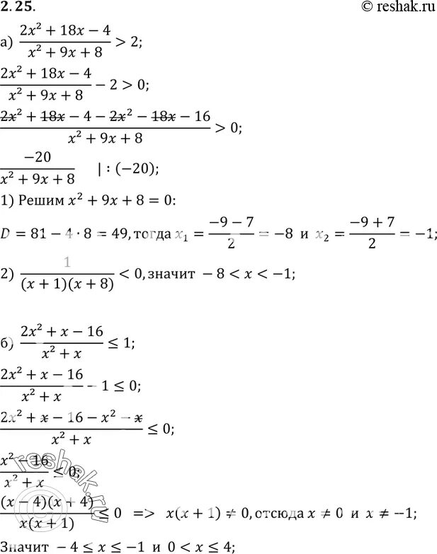
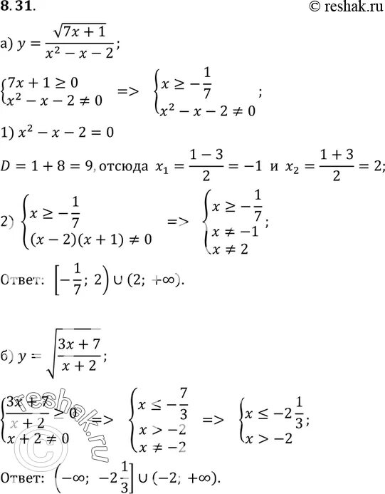
Мордкович 9 контрольные работы