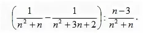
N 3 n 2 упростить выражение