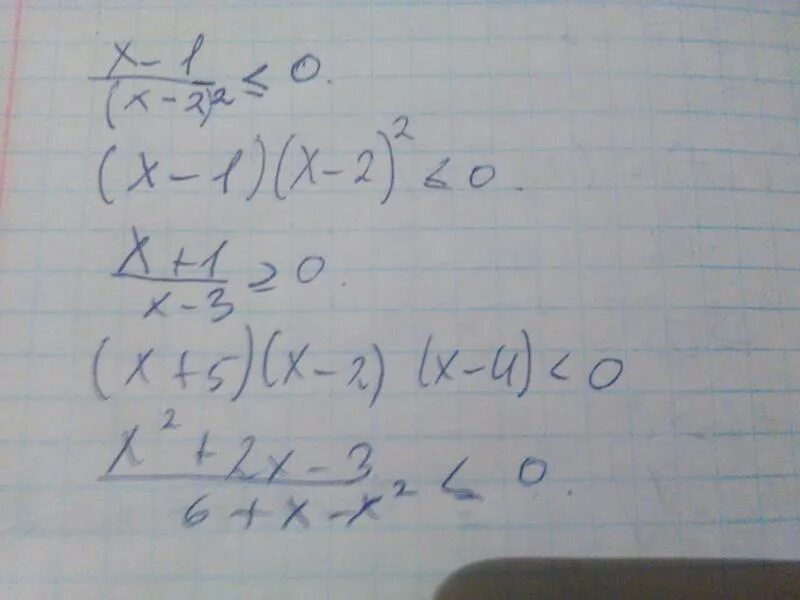
Надо решить 5 9 3