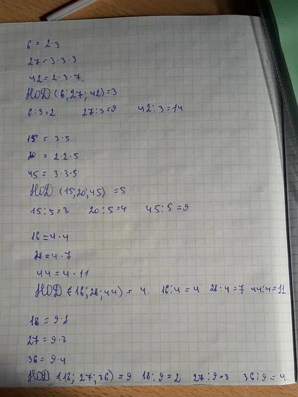
Наибольший общий делитель чисел 28 и 42