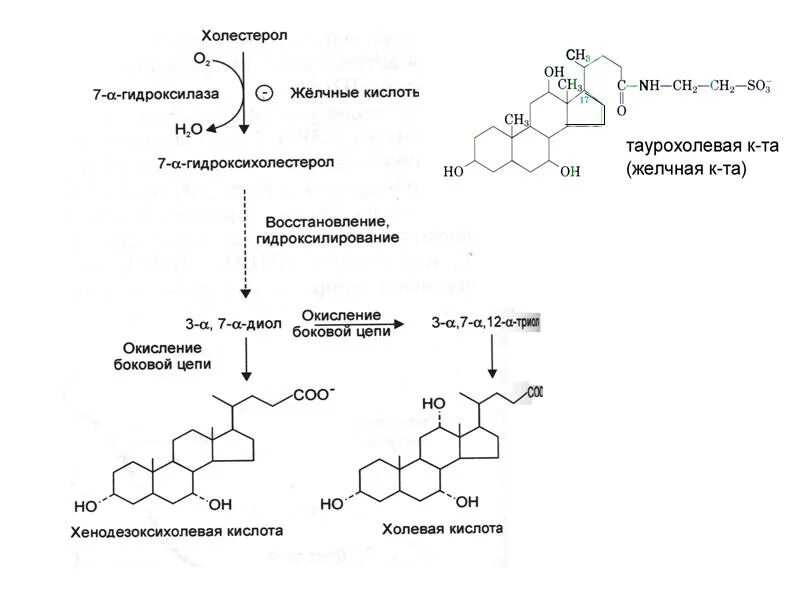
Нарушение всасывания желчных кислот