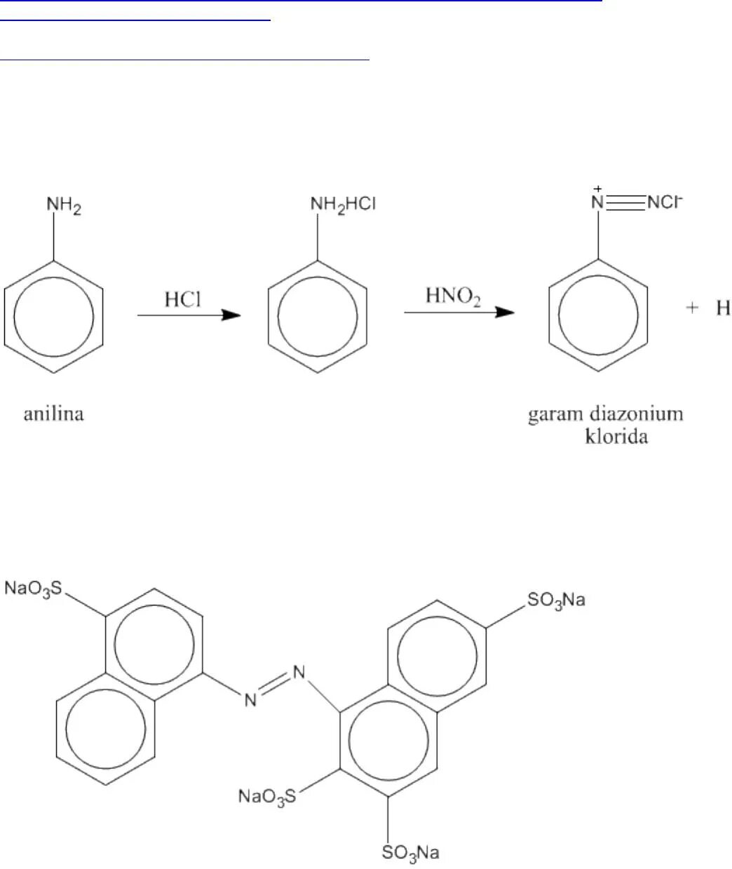
Naso3