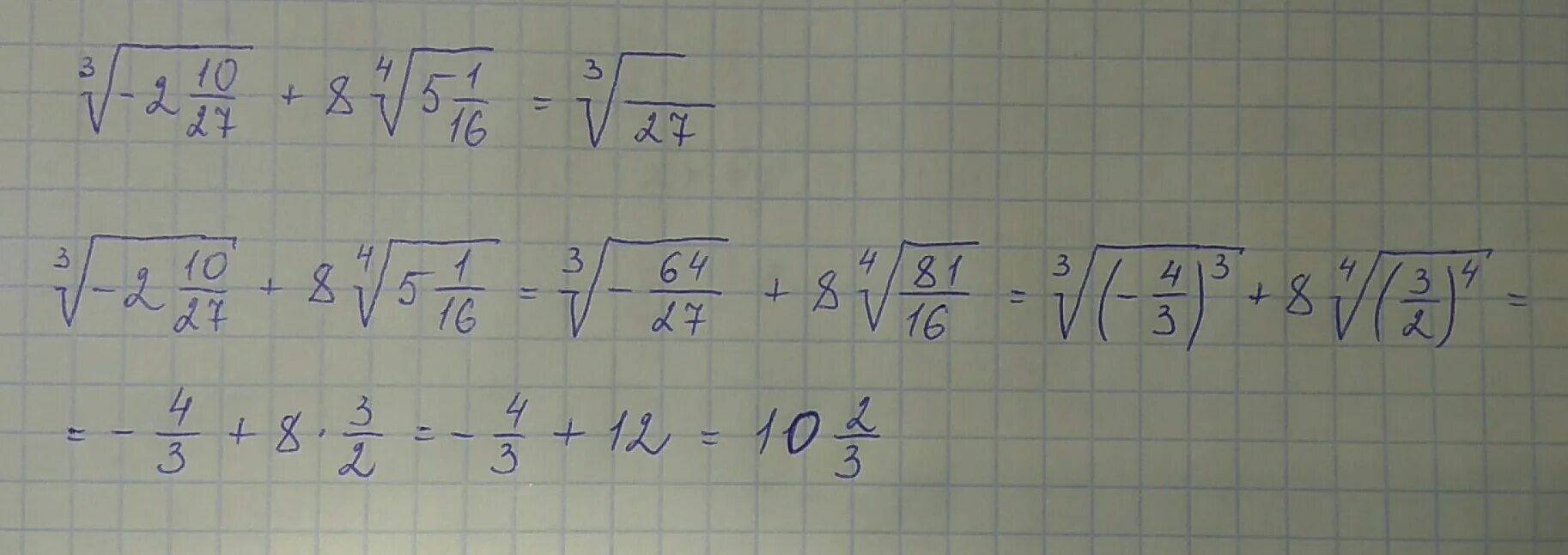
Найди значения выражения x 16 12