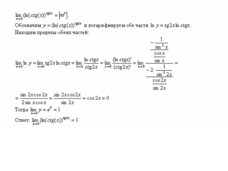
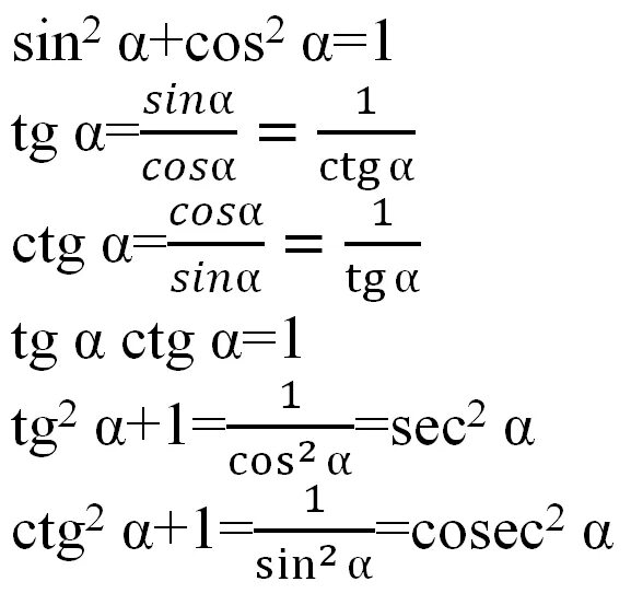
Найдите ctg c