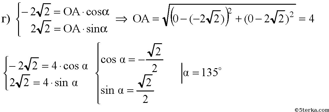
Найдите наименьший угол между лучами