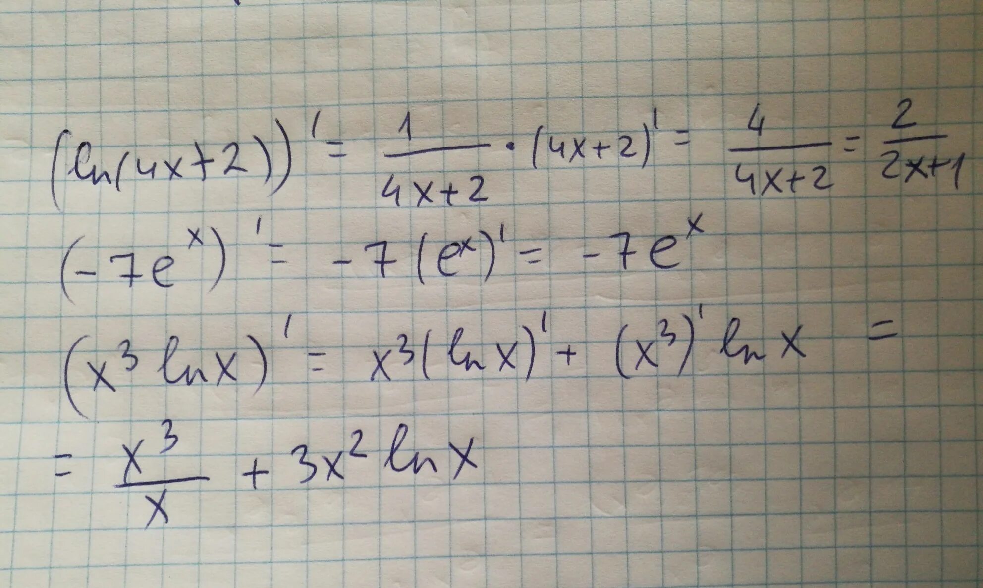
Найдите производную y 4 2x