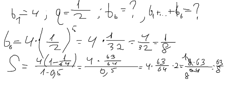
Найдите сумму первых 6 чисел геометрической прогрессии