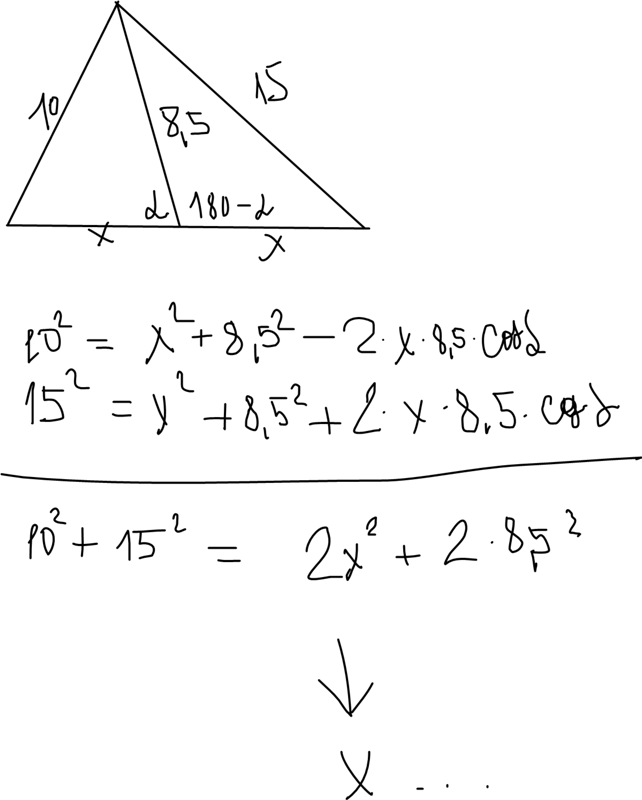
Найдите третью сторону