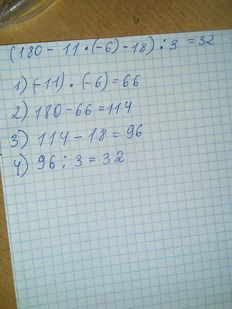
Найдите значение 180 3