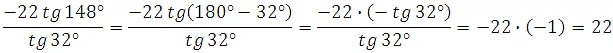
Найдите значение выражение tg