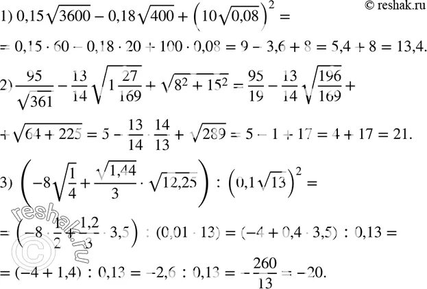
Найдите значение выражения 13 18 26 корень