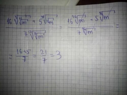
Найдите значение выражения 8 243 3