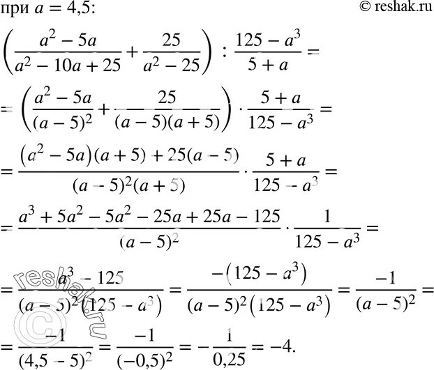
Найдите значение выражения a 2 10a 25