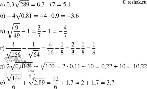
Найдите значение выражения корень 41 3