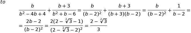
Найдите значение выражения при b 64