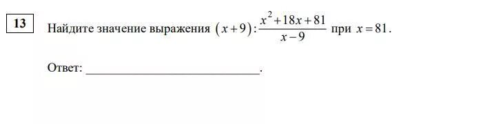
Найдите значение выражения при y 0.1