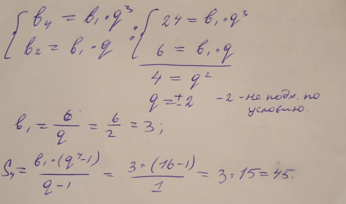
Найти b6