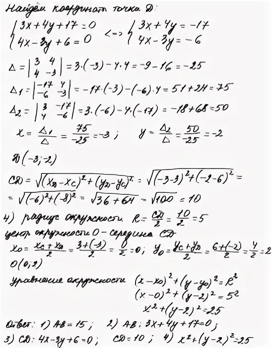
Найти длину высоты cd