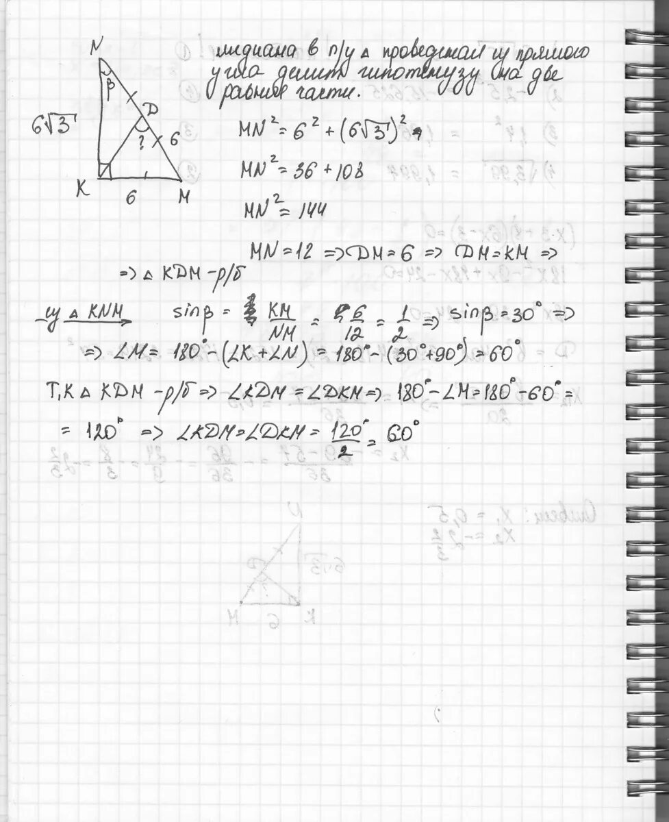
Найти mnk