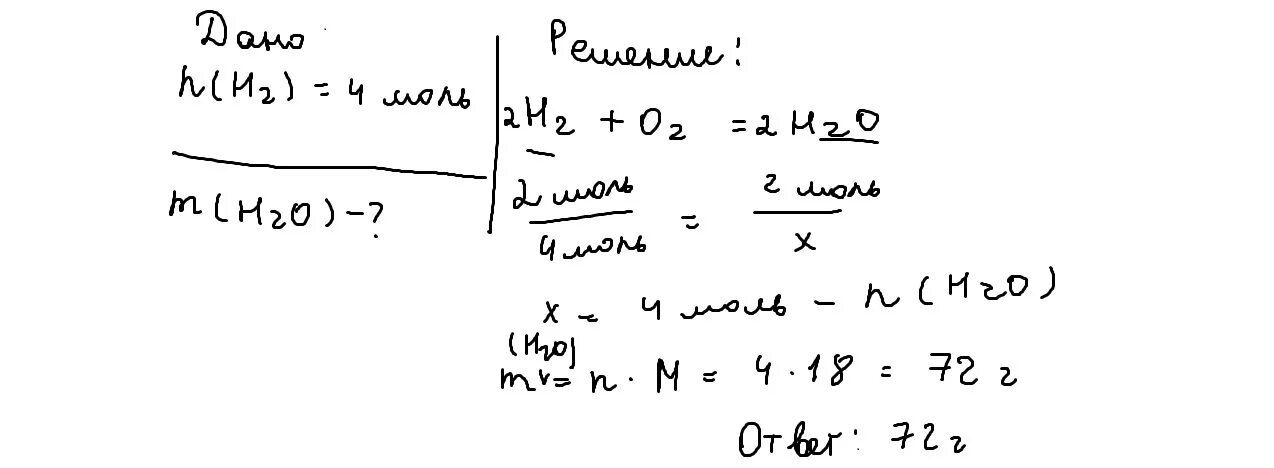
Найти объем 4 моль водорода